Home > Research & Publications > investigation of the EGFR and ErbB-3 heterodimerization
Contribution of EGFR and ErbB-3 Heterodimerization to the EGFR Mutation-Induced Gefitinib- and Erlotinib-Resistance in Non-Small-Cell Lung Carcinoma Treatments
Abstract
EGFR mutation-induced drug resistance has become a major threat to the treatment of non-small-cell lung carcinoma. Essentially, the resistance mechanism involves modifications of the intracellular signaling pathways. In our work, we separately investigated the EGFR and ErbB-3 heterodimerization, regarded as the origin of intracellular signaling pathways. On one hand, we combined the molecular interaction in EGFR heterodimerization with that between the EGFR tyrosine kinase and its inhibitor. For 168 clinical subjects, we characterized their corresponding EGFR mutations using molecular interactions, with three potential dimerization partners (ErbB-2, IGF-1R and c-Met) of EGFR and two of its small molecule inhibitors (gefitinib and erlotinib). Based on molecular dynamics simulations and structural analysis, we modeled these mutant-partner or mutant-inhibitor interactions using binding free energy and its components. As a consequence, the mutant-partner interactions are amplified for mutants L858R and L858R_T790M, compared to the wild type EGFR. Mutant delL747_P753insS represents the largest difference between the mutant-IGF-1R interaction and the mutant-inhibitor interaction, which explains the shorter progression-free survival of an inhibitor to this mutant type. Besides, feature sets including different energy components were constructed, and efficient regression trees were applied to map these features to the progression-free survival of an inhibitor. On the other hand, we comparably examined the interactions between ErbB-3 and its partners (EGFR mutants, IGF-1R, ErbB-2 and c-Met). Compared to others, c-Met shows a remarkably-strong binding with ErbB-3, implying its significant role in regulating ErbB-3 signaling. Moreover, EGFR mutants corresponding to poor clinical outcomes, such as L858R_T790M, possess lower binding affinities with ErbB-3 than c-Met does. This may promote the communication between ErbB-3 and c-Met in these cancer cells. The analysis verified the important contribution of IGF-1R or c-Met in the drug resistance mechanism developed in lung cancer treatments, which may bring many benefits to specialized therapy design and innovative drug discovery.
Results

Figure 1. Binding free energy and its components of each mutant-inhibitor or mutant-partner system. (a) to (c), The energies for the systems that each involves a mutant and a dimerization partner (ErbB-2, IGF-1R or c-Met). (d) and (e), The energies for those systems concerning a mutant and an inhibitor (gefitinib or erlotinib). (f) The total binding free energies extracted from parts a to e, with the mutation types shown. (g) The statistical results of the mutation types among our NSCLC patients.

Figure 2. Total binding free energies of the mutant-inhibitor or mutant-partner systems, involving several specific mutants. (a), The total binding free energies between several important EGFR kinases (WT, L858R, L858R_T890M) and a dimerization partner (ErbB-2, IGF-1R, c-Met) or an inhibitor (gefitinib, erlotinib). (b) to (f), Ranked binding free energies for the systems regarding all of our mutants (37 types + WT + L858R_T790M) in an ascending order.

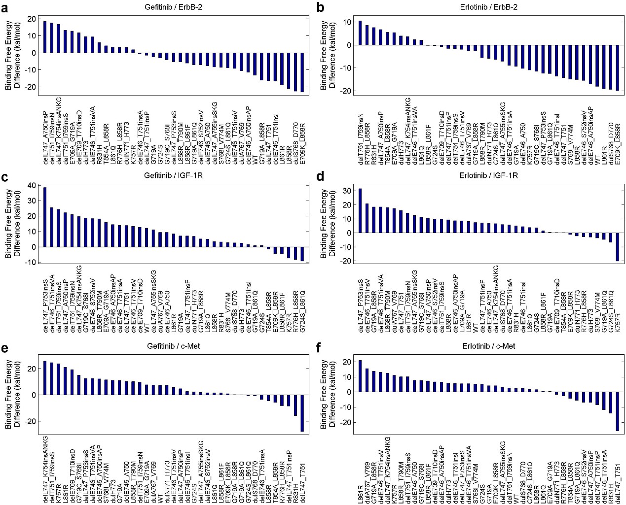
Figure 3. The difference between the total binding free energies of the mutant-inhibitor system and the mutant-partner system for each mutant. (a) and (b), The binding free energy differences between the systems involving ErbB-2 and the two inhibitors (gefitinib and erlotinib), with the values ranked in the descending order. (c) and (d), The similar binding free energy differences between the systems concerning IGF-1R and the two inhibitors. (e) and (f), The binding free energy differences between the systems concerning c-Met and the two inhibitors.

Figure 4. Computational results for ErbB-3-partner systems. (a) Total binding free energy comparison among ErbB-3-partner systems. Binding free energies of ErbB-3—c-Met, ErbB-3—ErbB-2 and ErbB-3—IGF-1R systems are labeled with lines, and those of systems involving WT EGFR, L858R, L858R_T790, delE746_A750 and delL747_P753insS are marked with solid spheres. (b) Ranked total binding free energies of representative ErbB-3-partner systems.
[Back]